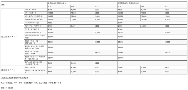
1 ̾Á°¡§º½Çù¤Î¥Þ¥¹¥«¥ì¡¼¥É ¡ú[] Åê¹ÆÆü¡§2020/01/30(Thu) 19:33:21 ID:XpcRF/jR9.net
¡ÖÅìµþ¥Ç¥£¥º¥Ë¡¼¥é¥ó¥É¡×¤È¡ÖÅìµþ¥Ç¥£¥º¥Ë¡¼¥·¡¼¡×¤Î¥Ñ¥¹¥Ý¡¼¥È¤Ë¤Ä¤¤¤Æ¡¢2020ǯ4·î1Æü¤«¤é¤Î²Á³Ê²þÄ꤬ȯɽ¤µ¤ì¤Þ¤·¤¿¡£
2020ǯ4·î1Æü¤è¤ê¡¢Åìµþ¥Ç¥£¥º¥Ë¡¼¥é¥ó¥É¤ª¤è¤ÒÅìµþ¥Ç¥£¥º¥Ë¡¼¥·¡¼¤Î¥Ñ¥¹¥Ý¡¼¥È²Á³Ê¤¬²þÄꤵ¤ì¤ë¤³¤È¤¬È¯É½¤µ¤ì¤Þ¤·¤¿¡£
Åìµþ¥Ç¥£¥º¥Ë¡¼¥ê¥¾¡¼¥È¤Ï¡¢¤¢¤é¤æ¤ëÀ¤Âå¤Î¿Í¡¹¤¬°ì½ï¤Ë¤Ê¤Ã¤Æ³Ú¤·¤à¤³¤È¤¬¤Ç¤¤ë¡È¥Õ¥¡¥ß¥ê¡¼¡¦¥¨¥ó¥¿¡¼¥Æ¥¤¥á¥ó¥È¡É¤òÌܻؤ·¤Æ¤ª¤ê¡¢Íľ¯´ü¤«¤é¤´²È²¤Ç¤´Íè±à¤¤¤¿¤À¤¯¤³¤È¤Ç¡¢ÁÇŨ¤Ê»×¤¤½Ð¤òÁϤäƤ¤¤¿¤À¤¤¿¤¤¤È¤Î¹Í¤¨¤«¤é¡¢¤Ê¤ª¡¢4ºÐ¤«¤é¾®³ØÀ¸¤Î¤ª»ÒÍͤ¬¤´ÍøÍѤ¤¤¿¤À¤±¤ë¸Ä¿Í¸þ¤±¥Á¥±¥Ã¥È¤Î¾®¿Í²Á³Ê¤Ï¿ø¤¨ÃÖ¤«¤ì¤Æ¤¤¤Þ¤¹¡£
¤Þ¤¿¡¢Î¾¥Ñ¡¼¥¯¤Ç¤Ï¡¢2020ǯ4·î1Æü¤«¤é¡¢¾ã¤¬¤¤¤Î¤¢¤ëÊý¸þ¤±¤Î¥Á¥±¥Ã¥È¤âƳÆþ¤µ¤ì¤Þ¤¹¡£
¡Ö¥Ñ¥¹¥Ý¡¼¥È¡×¥Á¥±¥Ã¥ÈÎÁ¶â²þÄê(2020ǯ4·î1Æü¼Â»Ü)
¡Ê¿·¡Ë¡§¿·²Á³Ê(4·î1Æü¹ØÆþʬ¤è¤ê)
¡Ê¸½¡Ë¡§¸½¹Ô²Á³Ê(3·î31Æü¹ØÆþʬ¤Þ¤Æ?)
¢£¸Ä¿Í¸þ¤±¥Á¥±¥Ã¥È
¡¦1¥Ç¡¼¥Ñ¥¹¥Ý¡¼¥È
¡Ê¿·¡ËÂç¿Í8,200¡¿Ãæ¿Í6,900¡¿¾®¿Í4,900
¡Ê¸½¡ËÂç¿Í7,500¡¿Ãæ¿Í6,500¡¿¾®¿Í4,900
¡¦2¥Ç¡¼¥Ñ¥¹¥Ý¡¼¥È
¡Ê¿·¡ËÂç¿Í14,800¡¿Ãæ¿Í12,600¡¿¾®¿Í8,800
¡Ê¸½¡ËÂç¿Í13,400¡¿Ãæ¿Í11,800¡¿¾®¿Í8,800
¡¦3¥Ç¡¼¥Þ¥¸¥Ã¥¯¥Ñ¥¹¥Ý¡¼¥È
¡Ê¿·¡ËÂç¿Í19,800¡¿Ãæ¿Í16,800¡¿¾®¿Í11,800
¡Ê¸½¡ËÂç¿Í18,100¡¿Ãæ¿Í15,800¡¿¾®¿Í11,800
¡¦4¥Ç¡¼¥Þ¥¸¥Ã¥¯¥Ñ¥¹¥Ý¡¼¥È
¡Ê¿·¡ËÂç¿Í24,800¡¿Ãæ¿Í21,000¡¿¾®¿Í14,800
¡Ê¸½¡ËÂç¿Í22,800¡¿Ãæ¿Í19,800¡¿¾®¿Í14,800

https://news.livedoor.com/article/detail/17742082/
2020ǯ1·î30Æü 16»þ27ʬ Dtimes


4 ̾Á°¡§Ì¾Ìµ¤·¤µ¤ó¡÷¶²½Ì¤Ç¤¹[sage] Åê¹ÆÆü¡§2020/01/30(Thu) 19:34:05 ID:UEhUwDjA0.net
¹â¤¤
50 ̾Á°¡§Ì¾Ìµ¤·¤µ¤ó¡÷¶²½Ì¤Ç¤¹[sage] Åê¹ÆÆü¡§2020/01/30(Thu) 19:44:54 ID:bNmbQoGk0.net
ǯ¥Ñ¥¹Çã¤Ã¤¿Êý¤¬¤ªÆÀ¤Êµ¤¤¬¤·¤Æ¤¤¿
11 ̾Á°¡§Ì¾Ìµ¤·¤µ¤ó¡÷¶²½Ì¤Ç¤¹[sage] Åê¹ÆÆü¡§2020/01/30(Thu) 19:35:44 ID:pcipsEhe0.net
¤Þ¤¿Ã;夬¤ê¤¹¤ó¤Î¤«£÷
¤È¤¤¤Ã¤Æ¤âµÒ¤Ï¸º¤é¤Ê¤¤¤ó¤À¤í¤¦¤Ê
ÆüËܤˣ±¤Ä¤·¤«¤Ê¤¤¤ó¤À¤«¤é
2Ëü¤¯¤é¤¤¤Ë¤Ê¤ì¤Ð¸º¤ê»Ï¤á¤ë¤ó¤¸¤ã¤Ê¤¤¤«
12 ̾Á°¡§Ì¾Ìµ¤·¤µ¤ó¡÷¶²½Ì¤Ç¤¹[] Åê¹ÆÆü¡§2020/01/30(Thu) 19:36:20 ID:E2J/03f70.net
¤³¤Ê¤¤¤ÀÃ;夲¤·¤¿¤Ð¤Ã¤«¤Ç¤Þ¤¿¤«¡¢¤µ¤¹¤¬Ì´¤òÇä¤ë¹ñ£÷£÷
32 ̾Á°¡§Ì¾Ìµ¤·¤µ¤ó¡÷¶²½Ì¤Ç¤¹[] Åê¹ÆÆü¡§2020/01/30(Thu) 19:40:16 ID:TbGnXthT0.net
5Àé¿ôÉ´±ß¤Î¤³¤í¤Ë¹Ô¤Ã¤¿¤Î¤¬ºÇ¸å¤À¤Ê
¿Í¿¤¹¤®¤Æ¤â¤¦¹Ô¤¤¿¤¯¤Ê¤¤
35 ̾Á°¡§Ì¾Ìµ¤·¤µ¤ó¡÷¶²½Ì¤Ç¤¹[] Åê¹ÆÆü¡§2020/01/30(Thu) 19:40:48 ID:EWVobJdL0.net
¤³¤ì¤Ç¹â¤¤ÈÓ¿©¤Ã¤¿¤êÅÚ»ºÇã¤Ã¤¿¤ê¤·¤¿¤é°ìÂΣ±Æü¤¤¤¯¤é¤«¤«¤ó¤Î¡©
37 ̾Á°¡§Ì¾Ìµ¤·¤µ¤ó¡÷¶²½Ì¤Ç¤¹[] Åê¹ÆÆü¡§2020/01/30(Thu) 19:41:03 ID:mb9qm8iq0.net
²È²4¿Í¹Ô¤Ã¤ÆÈÓ¿©¤Ã¤ÆÅÚ»ºÇã¤Ã¤¿¤ê¤·¤¿¤é
·Ú¤¯7Ëü±Û¤¨¤¹¤ë¤ó¤¸¤ã¤Í¡©
108 ̾Á°¡§Ì¾Ìµ¤·¤µ¤ó¡÷¶²½Ì¤Ç¤¹[sage] Åê¹ÆÆü¡§2020/01/30(ÌÚ) 20:05:45.68 ID:jUP2W5qY0.net
¹Ô¤¤¿¤¤¤È»×¤Ã¤¿»ö¤¬¤Ê¤¤¤Ê¤¢
116 ̾Á°¡§Ì¾Ìµ¤·¤µ¤ó¡÷¶²½Ì¤Ç¤¹[] Åê¹ÆÆü¡§2020/01/30(ÌÚ) 20:08:48.16 ID:iIRvLxUS0.net
>>108
²¿²ó¤«¹Ô¤Ã¤Æ¤ë¤È˰¤¤ë¤±¤É¡¢¤Ï¤¸¤á¤Æ¤Ê¤é¤¿¤¤¤¬¤¤³Ú¤·¤¤¾ì½ê¤À¤è
¹Ô¤Ã¤¿¤³¤È¤Ê¤¤¤Ê¤é¹Ô¤Ã¤Æ¤ß¤¿¤Û¤¦¤¬¤¤¤¤¤«¤â
114 ̾Á°¡§Ì¾Ìµ¤·¤µ¤ó¡÷¶²½Ì¤Ç¤¹[] Åê¹ÆÆü¡§2020/01/30(ÌÚ) 20:07:20.03 ID:9VrN2GJD0.net
>>108
¥Ç¥£¥º¥Ë¡¼¤Ï¹Ô¤¤¿¤¤¤È»×¤Ã¤Æ¤¤¤¯¤ó¤¸¤ã¤Ê¤¯¤Æ¡¢Èà½÷¤ä²È²¤ÎÍ×˾¤Ç¹Ô¤¯¾ì½ê¤À¤«¤é¤Ê
52 ̾Á°¡§Ì¾Ìµ¤·¤µ¤ó¡÷¶²½Ì¤Ç¤¹[] Åê¹ÆÆü¡§2020/01/30(Thu) 19:45:06 ID:j6vQxr2G0.net
¥Ç¥£¥º¥Ë¡¼¹¥¤¤ÊÅÛ¤¬Èà½÷¤ä²Ç¤À¤ÈÂçÊѤÀ¤ï
²¿ÅÙ¤â¹Ô¤¯¤ä¤Ä¤Ï²¿¤¬³Ú¤·¤¤¤Î¤«Á´¤¯ÉÔÌÀ
183 ̾Á°¡§Ì¾Ìµ¤·¤µ¤ó¡÷¶²½Ì¤Ç¤¹[sage] Åê¹ÆÆü¡§2020/01/30(ÌÚ) 20:49:53.29 ID:sphGHP8b0.net
>>52
¥Ç¥£¥º¥Ë¡¼¤ÈÊõÄͤ¬¹¥¤¤Ê½÷¤Ï·Ù²ü¤·¤í¤È¤¤¤¦¸Á¤¬¤¢¤ë¤È¤«¤Ê¤¤¤È¤«
199 ̾Á°¡§Ì¾Ìµ¤·¤µ¤ó¡÷¶²½Ì¤Ç¤¹[] Åê¹ÆÆü¡§2020/01/30(Thu) 21:09:54 ID:iIRvLxUS0.net
>>183
²¶¥Ç¥£¥º¥Ë¡¼¤Ç2²óÅݤ줿¤³¤È¤¬¤¢¤ë
²¶¤âÃˤǤϤ«¤Ê¤ê¹¥¤¤ÊÊý¤À¤È¤Ï»×¤¦¤¬¡¢½÷¤Î¥Ç¥£¥º¥Ë¡¼¹¥¤¤ÏÁ´Á³¼¡¸µ¤¬°ã¤¦
¼ö¤ï¤ì¤Æ¤ë¤Î¤«¤Î¤è¤¦¤À¤Ã¤¿
117 ̾Á°¡§Ì¾Ìµ¤·¤µ¤ó¡÷¶²½Ì¤Ç¤¹[] Åê¹ÆÆü¡§2020/01/30(ÌÚ) 20:08:55.40 ID:shHJtPRN0.net
25ǯÁ°¤¬5000±ß¤Ç
15ǯÁ°¤¬6000±ß¤À¤Ã¤¿¤«¤Ê¡©
34 ̾Á°¡§Ì¾Ìµ¤·¤µ¤ó¡÷¶²½Ì¤Ç¤¹[sage] Åê¹ÆÆü¡§2020/01/30(Thu) 19:40:34 ID:YUdqgbo10.net
1983ǯ¡¡3900±ß
2001ǯ¡¡5500±ß
2013ǯ¡¡6200±ß
2020ǯ¡¡8200±ß
174 ̾Á°¡§Ì¾Ìµ¤·¤µ¤ó¡÷¶²½Ì¤Ç¤¹[sage] Åê¹ÆÆü¡§2020/01/30(ÌÚ) 20:42:20.47 ID:0eLMFWyR0.net
>>34
¥ï¥í¥¿
¤É¤³¤¾¤Î·î¸«¥Ð¡¼¥¬¡¼¤«¤èw
187 ̾Á°¡§Ì¾Ìµ¤·¤µ¤ó¡÷¶²½Ì¤Ç¤¹[sage] Åê¹ÆÆü¡§2020/01/30(ÌÚ) 20:51:46.91 ID:v5gCG/1i0.net
>>34
°Â¤¤¤È»×¤¦
Íγڹ¥¤¤À¤¬¡¢80ǯÂå¤Ï4500±ß¤Ç´Ñ¤é¤ì¤¿¤Î¤Ë
º£¤Ï10000±ß±Û¤¨¤Î¥Á¥±¥Ã¥ÈÂå¤Ë¤Ê¤Ã¤Æ¤¿¤ê
193 ̾Á°¡§Ì¾Ìµ¤·¤µ¤ó¡÷¶²½Ì¤Ç¤¹[] Åê¹ÆÆü¡§2020/01/30(Thu) 20:59:06 ID:aZYbN88u0.net
>>34
±ß°Â¤Ë¤Ê¤Ã¤Æ¤ë¤«¤é¤Ê¡£±ß¤Ç¸«¤ë¤È¤É¤ó¤É¤óÃ;夬¤ê¤·¤Æ¤ë¤è¤¦¤Ë¸«¤¨¤ë
212 ̾Á°¡§Ì¾Ìµ¤·¤µ¤ó¡÷¶²½Ì¤Ç¤¹[sage] Åê¹ÆÆü¡§2020/01/30(Thu) 21:42:54 ID:s9rJ2W8Q0.net
>>193
¥¢¥Û
214 ̾Á°¡§Ì¾Ìµ¤·¤µ¤ó¡÷¶²½Ì¤Ç¤¹[] Åê¹ÆÆü¡§2020/01/30(Thu) 21:43:51 ID:RJ3OsG2X0.net
>>193
1983ǯ¡¡3900±ß(16¥É¥ë)
2001ǯ¡¡5500±ß(45¥É¥ë)
2013ǯ¡¡6200±ß(64¥É¥ë)
2020ǯ¡¡8200±ß(75¥É¥ë)
¤Ê¤ë¤Û¤É¡¢¥É¥ë´¹»»¤À¤ÈÁ´Á³¾å¤¬¤Ã¤Æ¡¢¡¢¡¢¤ë
207 ̾Á°¡§Ì¾Ìµ¤·¤µ¤ó¡÷¶²½Ì¤Ç¤¹[sage] Åê¹ÆÆü¡§2020/01/30(Thu) 21:22:02 ID:SXUR4uqe0.net
>>193
Çϼ¯¤«¤èw
¥ª¥ê¥¨¥ó¥¿¥ë¥é¥ó¥É¤Ê¤ó¤Æ°ÙÂØ¥ß¥ê¤â¤«¤ó¤±¡¼¤Í¡¼¤è¡ª
62 ̾Á°¡§Ì¾Ìµ¤·¤µ¤ó¡÷¶²½Ì¤Ç¤¹[sage] Åê¹ÆÆü¡§2020/01/30(Thu) 19:47:28 ID:KAsoFd780.net
Ã;夲¤·¤Þ¤¯¤Ã¤Æ¤ë¤Î¤Ë2018ǯ¤Ï²áµîºÇ¹â¤ÎÆþ¾ì¼Ô¿ô
2019ǯ¤Ï¤Þ¤À¾åȾ´ü¤Î¤Ö¤ó¤·¤«½Ð¤Æ¤Ê¤¤¤±¤É¾åȾ´ü¤È¤·¤Æ¤Ï²áµîºÇ¹â¤Ê¤Î¤Ç¶²¤é¤¯Ç¯´ÖºÇ¹â¤â¹¹¿·
¤³¤³¤Þ¤ÇÍè¤ë¤È¡¢¤É¤³¤Þ¤Ç¾å¤²¤¿¤éµÒ¤¬¸º¤ë¤Î¤«¤Î¼Â¸³¤À¤è¤ÊºÇÁá
¡ÖÅìµþ¥Ç¥£¥º¥Ë¡¼¥é¥ó¥É¡×¤È¡ÖÅìµþ¥Ç¥£¥º¥Ë¡¼¥·¡¼¡×¤Î¥Ñ¥¹¥Ý¡¼¥È¤Ë¤Ä¤¤¤Æ¡¢2020ǯ4·î1Æü¤«¤é¤Î²Á³Ê²þÄ꤬ȯɽ¤µ¤ì¤Þ¤·¤¿¡£
2020ǯ4·î1Æü¤è¤ê¡¢Åìµþ¥Ç¥£¥º¥Ë¡¼¥é¥ó¥É¤ª¤è¤ÒÅìµþ¥Ç¥£¥º¥Ë¡¼¥·¡¼¤Î¥Ñ¥¹¥Ý¡¼¥È²Á³Ê¤¬²þÄꤵ¤ì¤ë¤³¤È¤¬È¯É½¤µ¤ì¤Þ¤·¤¿¡£
Åìµþ¥Ç¥£¥º¥Ë¡¼¥ê¥¾¡¼¥È¤Ï¡¢¤¢¤é¤æ¤ëÀ¤Âå¤Î¿Í¡¹¤¬°ì½ï¤Ë¤Ê¤Ã¤Æ³Ú¤·¤à¤³¤È¤¬¤Ç¤¤ë¡È¥Õ¥¡¥ß¥ê¡¼¡¦¥¨¥ó¥¿¡¼¥Æ¥¤¥á¥ó¥È¡É¤òÌܻؤ·¤Æ¤ª¤ê¡¢Íľ¯´ü¤«¤é¤´²È²¤Ç¤´Íè±à¤¤¤¿¤À¤¯¤³¤È¤Ç¡¢ÁÇŨ¤Ê»×¤¤½Ð¤òÁϤäƤ¤¤¿¤À¤¤¿¤¤¤È¤Î¹Í¤¨¤«¤é¡¢¤Ê¤ª¡¢4ºÐ¤«¤é¾®³ØÀ¸¤Î¤ª»ÒÍͤ¬¤´ÍøÍѤ¤¤¿¤À¤±¤ë¸Ä¿Í¸þ¤±¥Á¥±¥Ã¥È¤Î¾®¿Í²Á³Ê¤Ï¿ø¤¨ÃÖ¤«¤ì¤Æ¤¤¤Þ¤¹¡£
¤Þ¤¿¡¢Î¾¥Ñ¡¼¥¯¤Ç¤Ï¡¢2020ǯ4·î1Æü¤«¤é¡¢¾ã¤¬¤¤¤Î¤¢¤ëÊý¸þ¤±¤Î¥Á¥±¥Ã¥È¤âƳÆþ¤µ¤ì¤Þ¤¹¡£
¡Ö¥Ñ¥¹¥Ý¡¼¥È¡×¥Á¥±¥Ã¥ÈÎÁ¶â²þÄê(2020ǯ4·î1Æü¼Â»Ü)
¡Ê¿·¡Ë¡§¿·²Á³Ê(4·î1Æü¹ØÆþʬ¤è¤ê)
¡Ê¸½¡Ë¡§¸½¹Ô²Á³Ê(3·î31Æü¹ØÆþʬ¤Þ¤Æ?)
¢£¸Ä¿Í¸þ¤±¥Á¥±¥Ã¥È
¡¦1¥Ç¡¼¥Ñ¥¹¥Ý¡¼¥È
¡Ê¿·¡ËÂç¿Í8,200¡¿Ãæ¿Í6,900¡¿¾®¿Í4,900
¡Ê¸½¡ËÂç¿Í7,500¡¿Ãæ¿Í6,500¡¿¾®¿Í4,900
¡¦2¥Ç¡¼¥Ñ¥¹¥Ý¡¼¥È
¡Ê¿·¡ËÂç¿Í14,800¡¿Ãæ¿Í12,600¡¿¾®¿Í8,800
¡Ê¸½¡ËÂç¿Í13,400¡¿Ãæ¿Í11,800¡¿¾®¿Í8,800
¡¦3¥Ç¡¼¥Þ¥¸¥Ã¥¯¥Ñ¥¹¥Ý¡¼¥È
¡Ê¿·¡ËÂç¿Í19,800¡¿Ãæ¿Í16,800¡¿¾®¿Í11,800
¡Ê¸½¡ËÂç¿Í18,100¡¿Ãæ¿Í15,800¡¿¾®¿Í11,800
¡¦4¥Ç¡¼¥Þ¥¸¥Ã¥¯¥Ñ¥¹¥Ý¡¼¥È
¡Ê¿·¡ËÂç¿Í24,800¡¿Ãæ¿Í21,000¡¿¾®¿Í14,800
¡Ê¸½¡ËÂç¿Í22,800¡¿Ãæ¿Í19,800¡¿¾®¿Í14,800

https://news.livedoor.com/article/detail/17742082/
2020ǯ1·î30Æü 16»þ27ʬ Dtimes


4 ̾Á°¡§Ì¾Ìµ¤·¤µ¤ó¡÷¶²½Ì¤Ç¤¹[sage] Åê¹ÆÆü¡§2020/01/30(Thu) 19:34:05 ID:UEhUwDjA0.net
¹â¤¤
50 ̾Á°¡§Ì¾Ìµ¤·¤µ¤ó¡÷¶²½Ì¤Ç¤¹[sage] Åê¹ÆÆü¡§2020/01/30(Thu) 19:44:54 ID:bNmbQoGk0.net
ǯ¥Ñ¥¹Çã¤Ã¤¿Êý¤¬¤ªÆÀ¤Êµ¤¤¬¤·¤Æ¤¤¿
11 ̾Á°¡§Ì¾Ìµ¤·¤µ¤ó¡÷¶²½Ì¤Ç¤¹[sage] Åê¹ÆÆü¡§2020/01/30(Thu) 19:35:44 ID:pcipsEhe0.net
¤Þ¤¿Ã;夬¤ê¤¹¤ó¤Î¤«£÷
¤È¤¤¤Ã¤Æ¤âµÒ¤Ï¸º¤é¤Ê¤¤¤ó¤À¤í¤¦¤Ê
ÆüËܤˣ±¤Ä¤·¤«¤Ê¤¤¤ó¤À¤«¤é
2Ëü¤¯¤é¤¤¤Ë¤Ê¤ì¤Ð¸º¤ê»Ï¤á¤ë¤ó¤¸¤ã¤Ê¤¤¤«
12 ̾Á°¡§Ì¾Ìµ¤·¤µ¤ó¡÷¶²½Ì¤Ç¤¹[] Åê¹ÆÆü¡§2020/01/30(Thu) 19:36:20 ID:E2J/03f70.net
¤³¤Ê¤¤¤ÀÃ;夲¤·¤¿¤Ð¤Ã¤«¤Ç¤Þ¤¿¤«¡¢¤µ¤¹¤¬Ì´¤òÇä¤ë¹ñ£÷£÷
32 ̾Á°¡§Ì¾Ìµ¤·¤µ¤ó¡÷¶²½Ì¤Ç¤¹[] Åê¹ÆÆü¡§2020/01/30(Thu) 19:40:16 ID:TbGnXthT0.net
5Àé¿ôÉ´±ß¤Î¤³¤í¤Ë¹Ô¤Ã¤¿¤Î¤¬ºÇ¸å¤À¤Ê
¿Í¿¤¹¤®¤Æ¤â¤¦¹Ô¤¤¿¤¯¤Ê¤¤
35 ̾Á°¡§Ì¾Ìµ¤·¤µ¤ó¡÷¶²½Ì¤Ç¤¹[] Åê¹ÆÆü¡§2020/01/30(Thu) 19:40:48 ID:EWVobJdL0.net
¤³¤ì¤Ç¹â¤¤ÈÓ¿©¤Ã¤¿¤êÅÚ»ºÇã¤Ã¤¿¤ê¤·¤¿¤é°ìÂΣ±Æü¤¤¤¯¤é¤«¤«¤ó¤Î¡©
37 ̾Á°¡§Ì¾Ìµ¤·¤µ¤ó¡÷¶²½Ì¤Ç¤¹[] Åê¹ÆÆü¡§2020/01/30(Thu) 19:41:03 ID:mb9qm8iq0.net
²È²4¿Í¹Ô¤Ã¤ÆÈÓ¿©¤Ã¤ÆÅÚ»ºÇã¤Ã¤¿¤ê¤·¤¿¤é
·Ú¤¯7Ëü±Û¤¨¤¹¤ë¤ó¤¸¤ã¤Í¡©
108 ̾Á°¡§Ì¾Ìµ¤·¤µ¤ó¡÷¶²½Ì¤Ç¤¹[sage] Åê¹ÆÆü¡§2020/01/30(ÌÚ) 20:05:45.68 ID:jUP2W5qY0.net
¹Ô¤¤¿¤¤¤È»×¤Ã¤¿»ö¤¬¤Ê¤¤¤Ê¤¢
116 ̾Á°¡§Ì¾Ìµ¤·¤µ¤ó¡÷¶²½Ì¤Ç¤¹[] Åê¹ÆÆü¡§2020/01/30(ÌÚ) 20:08:48.16 ID:iIRvLxUS0.net
>>108
²¿²ó¤«¹Ô¤Ã¤Æ¤ë¤È˰¤¤ë¤±¤É¡¢¤Ï¤¸¤á¤Æ¤Ê¤é¤¿¤¤¤¬¤¤³Ú¤·¤¤¾ì½ê¤À¤è
¹Ô¤Ã¤¿¤³¤È¤Ê¤¤¤Ê¤é¹Ô¤Ã¤Æ¤ß¤¿¤Û¤¦¤¬¤¤¤¤¤«¤â
114 ̾Á°¡§Ì¾Ìµ¤·¤µ¤ó¡÷¶²½Ì¤Ç¤¹[] Åê¹ÆÆü¡§2020/01/30(ÌÚ) 20:07:20.03 ID:9VrN2GJD0.net
>>108
¥Ç¥£¥º¥Ë¡¼¤Ï¹Ô¤¤¿¤¤¤È»×¤Ã¤Æ¤¤¤¯¤ó¤¸¤ã¤Ê¤¯¤Æ¡¢Èà½÷¤ä²È²¤ÎÍ×˾¤Ç¹Ô¤¯¾ì½ê¤À¤«¤é¤Ê
52 ̾Á°¡§Ì¾Ìµ¤·¤µ¤ó¡÷¶²½Ì¤Ç¤¹[] Åê¹ÆÆü¡§2020/01/30(Thu) 19:45:06 ID:j6vQxr2G0.net
¥Ç¥£¥º¥Ë¡¼¹¥¤¤ÊÅÛ¤¬Èà½÷¤ä²Ç¤À¤ÈÂçÊѤÀ¤ï
²¿ÅÙ¤â¹Ô¤¯¤ä¤Ä¤Ï²¿¤¬³Ú¤·¤¤¤Î¤«Á´¤¯ÉÔÌÀ
183 ̾Á°¡§Ì¾Ìµ¤·¤µ¤ó¡÷¶²½Ì¤Ç¤¹[sage] Åê¹ÆÆü¡§2020/01/30(ÌÚ) 20:49:53.29 ID:sphGHP8b0.net
>>52
¥Ç¥£¥º¥Ë¡¼¤ÈÊõÄͤ¬¹¥¤¤Ê½÷¤Ï·Ù²ü¤·¤í¤È¤¤¤¦¸Á¤¬¤¢¤ë¤È¤«¤Ê¤¤¤È¤«
199 ̾Á°¡§Ì¾Ìµ¤·¤µ¤ó¡÷¶²½Ì¤Ç¤¹[] Åê¹ÆÆü¡§2020/01/30(Thu) 21:09:54 ID:iIRvLxUS0.net
>>183
²¶¥Ç¥£¥º¥Ë¡¼¤Ç2²óÅݤ줿¤³¤È¤¬¤¢¤ë
²¶¤âÃˤǤϤ«¤Ê¤ê¹¥¤¤ÊÊý¤À¤È¤Ï»×¤¦¤¬¡¢½÷¤Î¥Ç¥£¥º¥Ë¡¼¹¥¤¤ÏÁ´Á³¼¡¸µ¤¬°ã¤¦
¼ö¤ï¤ì¤Æ¤ë¤Î¤«¤Î¤è¤¦¤À¤Ã¤¿
117 ̾Á°¡§Ì¾Ìµ¤·¤µ¤ó¡÷¶²½Ì¤Ç¤¹[] Åê¹ÆÆü¡§2020/01/30(ÌÚ) 20:08:55.40 ID:shHJtPRN0.net
25ǯÁ°¤¬5000±ß¤Ç
15ǯÁ°¤¬6000±ß¤À¤Ã¤¿¤«¤Ê¡©
34 ̾Á°¡§Ì¾Ìµ¤·¤µ¤ó¡÷¶²½Ì¤Ç¤¹[sage] Åê¹ÆÆü¡§2020/01/30(Thu) 19:40:34 ID:YUdqgbo10.net
1983ǯ¡¡3900±ß
2001ǯ¡¡5500±ß
2013ǯ¡¡6200±ß
2020ǯ¡¡8200±ß
174 ̾Á°¡§Ì¾Ìµ¤·¤µ¤ó¡÷¶²½Ì¤Ç¤¹[sage] Åê¹ÆÆü¡§2020/01/30(ÌÚ) 20:42:20.47 ID:0eLMFWyR0.net
>>34
¥ï¥í¥¿
¤É¤³¤¾¤Î·î¸«¥Ð¡¼¥¬¡¼¤«¤èw
187 ̾Á°¡§Ì¾Ìµ¤·¤µ¤ó¡÷¶²½Ì¤Ç¤¹[sage] Åê¹ÆÆü¡§2020/01/30(ÌÚ) 20:51:46.91 ID:v5gCG/1i0.net
>>34
°Â¤¤¤È»×¤¦
Íγڹ¥¤¤À¤¬¡¢80ǯÂå¤Ï4500±ß¤Ç´Ñ¤é¤ì¤¿¤Î¤Ë
º£¤Ï10000±ß±Û¤¨¤Î¥Á¥±¥Ã¥ÈÂå¤Ë¤Ê¤Ã¤Æ¤¿¤ê
193 ̾Á°¡§Ì¾Ìµ¤·¤µ¤ó¡÷¶²½Ì¤Ç¤¹[] Åê¹ÆÆü¡§2020/01/30(Thu) 20:59:06 ID:aZYbN88u0.net
>>34
±ß°Â¤Ë¤Ê¤Ã¤Æ¤ë¤«¤é¤Ê¡£±ß¤Ç¸«¤ë¤È¤É¤ó¤É¤óÃ;夬¤ê¤·¤Æ¤ë¤è¤¦¤Ë¸«¤¨¤ë
212 ̾Á°¡§Ì¾Ìµ¤·¤µ¤ó¡÷¶²½Ì¤Ç¤¹[sage] Åê¹ÆÆü¡§2020/01/30(Thu) 21:42:54 ID:s9rJ2W8Q0.net
>>193
¥¢¥Û
214 ̾Á°¡§Ì¾Ìµ¤·¤µ¤ó¡÷¶²½Ì¤Ç¤¹[] Åê¹ÆÆü¡§2020/01/30(Thu) 21:43:51 ID:RJ3OsG2X0.net
>>193
1983ǯ¡¡3900±ß(16¥É¥ë)
2001ǯ¡¡5500±ß(45¥É¥ë)
2013ǯ¡¡6200±ß(64¥É¥ë)
2020ǯ¡¡8200±ß(75¥É¥ë)
¤Ê¤ë¤Û¤É¡¢¥É¥ë´¹»»¤À¤ÈÁ´Á³¾å¤¬¤Ã¤Æ¡¢¡¢¡¢¤ë
207 ̾Á°¡§Ì¾Ìµ¤·¤µ¤ó¡÷¶²½Ì¤Ç¤¹[sage] Åê¹ÆÆü¡§2020/01/30(Thu) 21:22:02 ID:SXUR4uqe0.net
>>193
Çϼ¯¤«¤èw
¥ª¥ê¥¨¥ó¥¿¥ë¥é¥ó¥É¤Ê¤ó¤Æ°ÙÂØ¥ß¥ê¤â¤«¤ó¤±¡¼¤Í¡¼¤è¡ª
62 ̾Á°¡§Ì¾Ìµ¤·¤µ¤ó¡÷¶²½Ì¤Ç¤¹[sage] Åê¹ÆÆü¡§2020/01/30(Thu) 19:47:28 ID:KAsoFd780.net
Ã;夲¤·¤Þ¤¯¤Ã¤Æ¤ë¤Î¤Ë2018ǯ¤Ï²áµîºÇ¹â¤ÎÆþ¾ì¼Ô¿ô
2019ǯ¤Ï¤Þ¤À¾åȾ´ü¤Î¤Ö¤ó¤·¤«½Ð¤Æ¤Ê¤¤¤±¤É¾åȾ´ü¤È¤·¤Æ¤Ï²áµîºÇ¹â¤Ê¤Î¤Ç¶²¤é¤¯Ç¯´ÖºÇ¹â¤â¹¹¿·
¤³¤³¤Þ¤ÇÍè¤ë¤È¡¢¤É¤³¤Þ¤Ç¾å¤²¤¿¤éµÒ¤¬¸º¤ë¤Î¤«¤Î¼Â¸³¤À¤è¤ÊºÇÁá
Åìµþ¥Ç¥£¥º¥Ë¡¼¥ê¥¾¡¼¥È´°Á´¥¬¥¤¥É¡¡£²£°£²£°¡Ý£²£°£²£± (£Ä£é£ó£î£å£ù¡¡£é£î¡¡£Ð£ï£ã£ë£å£ô)
posted with amazlet at 20.01.31
¹ÖÃÌ¼Ò (2019-10-15)
Çä¤ê¾å¤²¥é¥ó¥¥ó¥°: 103,928
Çä¤ê¾å¤²¥é¥ó¥¥ó¥°: 103,928













































Ƭ¥Ç¥£¥º¥Ë¡¼¤ÏÏä˻²²Ã¤¹¤ë¤Ê¤è¤É¥¢¥Û£÷